best365中国官方网站设计艺术学院综合素质测评实施细则(试行)
第一章总则
第一条为贯彻落实党的教育方针,培养“基础实、技术精、能力强、素质高”的应用型人才,鼓励学生在校期间勤奋学习、努力进取,德智体美劳全面发展。根据《best365中国官方网站学生奖励办法(试行)》(湖工政发〔2021〕7号)、《best365中国官方网站素质与能力拓展学分认定与管理方法》(湖工学〔2020〕41号)、《best365中国官方网站学生综合素质测评办法》(湖工学〔2015〕13号)、《best365中国官方网站本科生学分绩点制实施办法(试行)》(湖工教〔2013〕28号)等文件精神,结合设计艺术学院实际情况,特制定本细则。
第二条大力推进学分制和素质教育,综测测评以记分的方式,科学、准确、客观、全面地对我院学生德、智、体等方面进行评定。学生综合素质测评由学业成绩绩点和素质与能力拓展绩点构成。其中学业成绩的评价采用平均分绩点做为评价依据,素质与能力拓展绩点采用相对分制转换后按相应比例计入综合素质测评,评定结果作为学生评先评优评奖的主要参考。
第三条综合素质测评每学年进行一次,一般在每年的9-10月份进行。
第二章学生综合素质测评指标体系与占比
第四条综合素质测评由学业成绩绩点和素质与能力拓展绩点构成
学业成绩绩点与素质能力拓展绩点在各学年所占比重
|
学业成绩绩点 |
素质与能力拓展绩点 |
第一学年 |
75% |
25% |
第二学年 |
70% |
30% |
第三学年 |
70% |
30% |
第四学年 |
65% |
35% |
第三章 学业成绩绩点
第五条学业成绩测评以学生本学年各门课程考试考查成绩(包括实习成绩)为依据,按照《best365中国官方网站本科生学分绩点制实施办法(试行)》(湖工教〔2013〕28号)实施。
(一)考核成绩与绩点的对应关系
(1)百分制分数与绩点的对应关系
百分制分数 |
100-90 |
89-80 |
79-70 |
69-60 |
59-0 |
绩点 |
5.0-4.0 |
3.9-3.0 |
2.9-2.0 |
1.9-1.0 |
0 |
(2)五级等级制与绩点的对应关系
等级 |
优 |
良 |
中 |
及格 |
不及格 |
绩点 |
4.5 |
3.5 |
2.5 |
1.5 |
0 |
(3)二级等级制与绩点的对应关系
(二)课程学业成绩分绩点的计算方法
课程分绩点=课程分×该课程成绩绩点
(三)学年课程平均分绩点的计算方法
学年课程平均分绩点=【学年课程分绩点之和÷学年修读课程的总分】
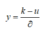
(四)素质与能力拓展分转换为百分制分数及绩点的方法
素质与能力拓展分转换绩点为相对分制转换,即将素质与能力拓展分通过标准分计算公式换算成标准分(百分制分数),再通过百分制分数与绩点的对应关系进行转换。
换算成百分制分数的计算方法如下:
K为学生素质与能力拓展所得分,u 为全体学生(一般按专业统计,全体学生分和除以学生人数)平均分,
为全体学生分的标准差
设有m个学生,kj表示第j个学生分,则:

K不等于0,百分制的标准分
*10+70;K等于0时,y=0。
第四章 素质与能力拓展学分认定
第六条
素质与能力拓展分认定是根据学生在校期间德、智、体、美等方面的课外表现,按照评分项目以记分方式进行评定。测评内容包括:思想道德素质、科技文化素质、身心素质、职业素质、创新创业能力、其他项目等方面。
第七条素质与能力拓展学分具体计量标准
类别 |
项目名称 |
项目学分评定主要观测点及标准 |
补充 |
1.思想道德素质 |
1.1政治理论学习 |
1.参加党课培训并获得“党课结业证书”记1学分; 2.参加“青马培训”并顺利结业记1学分。 |
|
1.2公益活动 |
参加校内外各类公益活动满16小时记1学分(需提供有效时长证明),累计最高2学分;参加校院级各类勤工助学岗位满一学期记0.5学分,累计最高1学分。 |
|
1.3社会实践与社会调查 |
参加学校组织的“三下乡”等社会实践活动,参加记0.5学分/人次、项目立项记1学分/人次,同一暑期立项、参与多项三下乡暑期实践活动累计最高2分。被评为市级及以上、校级、院级优秀个人分别记3学分、2学分、1学分;被评为市级及以上、校级、院级优秀社会实践团体分别记 4学分、2学分、1学分/人次。 |
三下乡团队获得荣誉,取最高级荣誉加分 |
见义勇为、公益服务,公开受表彰,国家级、省级、市级、校级、院级分别记5学分、4学分、3学分、2学分、1学分。 |
|
1.4知识讲座 |
参加学校、学院组织的学术讲座、赛事讲座,并有学校、学院盖章证明和签到记录,满五次加0.5学分;满十次,加1学分。 |
以此推类,累计不超过2学分 |
2.科技文化素质 |
2.1学科专业竞赛 |
参加各级各类学科专业竞赛获奖 |
院级 |
每人记0.5学分,累计最高2学分。 |
|
校级 |
一等奖 |
3学分 |
|
二等奖 |
2学分 |
三等奖 |
1学分 |
参与奖/优胜奖 |
0.5学分 |
市厅级 |
一等奖 |
5学分 |
二等奖 |
3学分 |
三等奖 |
2学分 |
参与奖/优胜奖 |
1学分 |
省部级 |
一等奖 |
7学分 |
二等奖 |
5学分 |
三等奖 |
4学分 |
参与奖/优胜奖 |
2学分 |
国家级 |
一等奖 |
9学分 |
二等奖 |
7学分 |
三等奖 |
6学分 |
参与奖/优胜奖 |
4学分 |
2.2科研创新 |
稿件/ 作品发表 |
在best365中国官方网站报、学校主页《湖工新闻》和《院部动态》等栏目发表文章或作品,每篇记1学分,以上累计最高4分。以上仅记第一作者。 |
工作职能内不计分 |
论文/作品发表 |
在国内外公开发行的刊物上发表论文或作品,每人每篇记5学分;在省级及以上学术会议上交流论文或作品,每人每篇记4学分;在best365中国官方网站学报发表论文或作品,每人每篇记3学分。以上仅记第一作者。 |
|
协助教师 参与科研 |
根据学生的参与程度及取得的科研成果,由课题负责教师提出,每人记2学分。累计最高4学分。 |
|
专利成果 |
获得国内专利,每人每项记10学分; 获得国际专利,每人每项记20学分。 |
可累计 |
3.身心素质 |
3.1文体竞赛与训练 |
文艺竞赛 |
参照学科专业竞赛计算学分:第一名与一等奖等同,第二至三名与二等奖等同,第四至第八名与三等奖等同,优胜奖和参与未取得名次者与参与奖/优胜奖等同。 |
|
体育竞赛 |
体育训练 |
参加学校组织的省级及以上体育竞赛集训队,时间在32小时以上,记1.5学分/人次,累计最高3学分。 |
3.2专业社团 |
1、参加校各类文艺团体、礼仪队、模特队、教导队等,每学期训练16小时以上,经考核合格者,记1学分; 2、参加校运会、太极拳比赛、学院方阵队、国旗手等集训时间在32小时以上,集训期间无迟到,并参加比赛,每项记2学分。 |
该类累计最高4学分 |
|
3.3专业技能活动 |
参加校院级书画作品展,一等奖记2学分、二等奖记1.5学分、三等奖记1学分、参与奖记0.5学分。 |
|
4.职业素质 |
4.1资格证书 |
考取专业相关资格证书(如建筑八大员证等)每类记2学分,英语四级合格记2学分,英语六级合格(含托福90、雅思6.0、BEC通过等)记4学分,国家计算机二级考试合格记2学分。 |
大学四年内,同类型资格证书只记一次 |
4.2课外阅读 |
每年参加校图书馆4.23读书节系列活动,有参与记录和图书馆出具的证明,记1学分。 |
累计最高4学分 |
4.3辅修 |
报名第二学位辅修者,记0.5学分,顺利通过所有课程,记1学分/学期。 |
|
5.创新创业能力 |
5.1创新性 学习 |
大学生研究性学习与创新性实验项目、德育实践项目、科技创新项目立项或结题 |
国家级 |
项目负责人 |
9学分 |
参与成员 |
5学分 |
省级 |
项目负责人 |
5学分 |
参与成员 |
3学分 |
校级 |
项目负责人 |
3学分 |
参与成员 |
2学分 |
院级 |
项目负责人 |
2学分 |
参与成员 |
1学分 |
5.2创业 实践项目 |
进入校大学生创业孵化基地的项目或其他创新创业实践能力项目,项目负责人记4学分,成员记2学分。 |
不累计加分 |
5.3创新创业类比赛 |
参照学科专业竞赛计算学分 |
|
6.其它项目 |
加分项 |
1、获得省市级个人表彰每项加3学分;荣获校级荣誉如校级三好学生、校级优秀干部、校级优秀团员、校级优秀团干、优秀先进个人、校级优秀信息员(标兵)等每项加2学分;院级荣誉如优秀朋辈辅导员、院级优秀团员、院级优秀团干、优秀工作者等每项加1分; 2、本学年集体单位(支部、班级等)获省级优秀集体或全国活力团支部;校级先进班集体、红旗团支部;“我们这一班”,班委分别加3学分、1.5学分、1学分,其他班级成员分别加2学分、1学分、0.5学分,此类荣誉加分累计最高为2次; 3、校级文明寝室、校级学习型宿舍、院级文明寝室、院级优秀寝室、寝室之星。校级寝室荣誉寝室长加1.5分,其他成员加1分。院级寝室荣誉(除寝室之星)寝室长加1分,其他成员加0.5分,此类荣誉各寝室取最高等级加分。寝室之星寝室成员每人加0.5分/次,累计最高为1分; 4、部队退伍复学记2学分,只记1次; 5、担任学生干部者,在工作有计划,措施落实,坚持为同学办实事,作风民主,能完成任务的基础上加分如下:担任校院学生会、学社联主席团成员任期满一年加2学分;校院级学生会、社团正副部长,学校信息员、各班班长团支书任期满一年各加1.5学分;校院级学生会干事、社团干部、学院信息员、班委任期满一年各加1学分;学生干部在考核中不称职或参加各项会议、活动无故缺勤3次以上者,不予加分; 6、入党积极分子加1学分,预备党员加1.5学分;党员加2学分; 7、易班平台发布文章,院级、校级记0.5学分/篇,累计不超过2学分;市级、省级记1学分/篇,累计不过3学分;国家级记2/分,累计不超过4学分,以上仅记第一作者; 8、参加志愿献血活动每次记0.5学分,累计最高1学分; 9、军训中获得军训标兵、先进个人加1学分; 10、代表学院积极参加文体活动的工作者(如运动员、啦啦队队员、篮球队成员、文艺晚会演员、后勤服务人员等)加1学分,其中班级篮球队员加0.5学分,不累计加分; 11、各类优秀志愿者(提供相关证书或者盖章材料)记0.2学分,最高累计1学分; 13、党史知识竞赛参考学科竞赛计算学分。 |
以上所有加分必须有证书复印件或相关书面的证明材料为依据,所有加分证明材料日期必须属于上年度9月1日到本年度9月1日之间。 |
扣分项 |
1、受院级通报批评一次扣2学分,受校级通报批评扣3学分; 2、受警告处分者扣5学分,受严重警告处分者扣7学分,受记过处分者扣10学分,受留校察看处分者扣15学分; 3、违反宿舍管理规定,被学校宿管中心通报批评的宿舍,当事人扣1.5学分/次,寝室成员扣1学分/次;被学院通报批评的宿舍,当事人扣0.5学分/次,未经学院批准,校外租房,扣3学分; 4、损坏公物,除赔偿损失外,按其价值及损坏程度,一次扣1—2学分(构成处分者另计); 5、对师长、同学不文明、不礼貌,有意损害他人人格或有损集体、他人声誉,按情节程度处罚,每次扣1—3学分; 6、无故缺席学校和学院组织的各项会议和集体活动,扣0.5学分/次; 7、经学院查实旷课者,缺勤一次扣0.5学分; 8、早晚自习迟到、早退、缺勤者,每次扣0.5学分; |
|
说明:学科竞赛以各级政府组织竞赛为记分标准,同级别行业(协会)举办的竞赛记分标准下调一级。
各班级在进行实际测评时,如果遇到新的问题,而本“细则”未作具体规定,应及时向系报告,根据实际情况,按照“有理有利、客观公正”的原则进行裁定。
设计艺术学院
2021年9月